近日,公共卫生学院卫生检验与检疫系陈丽丽教授团队以南华大学为第一单位,在国际免疫学领域知名期刊《Infection and Immunity》发表题为“Chlamydia psittaciInduces Autophagy in Human Bronchial Epithelial Cells via PERK and IRE1α, but not ATF6 pathway”的原创性研究论文。陈丽丽教授作为唯一通讯作者,南华大学衡阳医学院公共卫生学院为第一通讯单位。
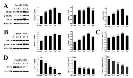
Cps是一种人兽共患病原体,能引起人类和动物罹患多种疾病。近年来,Cps感染人类的病例报道越来越多,因此深入探讨Cps致病的分子机制对防治其感染具有重要意义。在这项研究中,陈丽丽教授团队通过细胞实验,检测到Cps感染可导致人支气管上皮细胞(HBE)发生自噬(图1),并激活未折叠蛋白反应(UPR)中PERK和IRE1α信号通路,抑制ATF6信号通路(图2)。该团队进一步验证PERK和IRE1α信号通路还参与调节Cps包涵体在HBE细胞内的发育(图3)。

图1. Cps感染诱导HBE细胞发生自噬

图2. Cps感染HBE细胞激活PERK和IRE1α,抑制ATF6信号通路

图3. PERK和IRE1α信号通路参与调节Cps在HBE细胞内的发育
这项研究首次揭示Cps和细胞自噬、UPR反应及其信号通路之间的关系,阐明了自噬是阻碍Cps在HBE细胞内发育的关键细胞机制。该研究结果对于人们深入理解Cps感染的分子机制有重要意义,为进一步阐明Cps的致病机制奠定了基础。
《Infection and Immunity》是免疫学领域的权威期刊,由“美国微生物学会”(全球最大的生命科学学会之一)出版管理。该期刊致力于出版感染与免疫领域高水平研究型论文,为微生物学家、免疫学家、流行病学家、病理学家和临床医师提供学术参考。
论文链接:https://journals.asm.org/doi/10.1128/iai.00079-22